Distância entre Dois Pontos
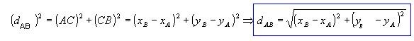
Dados os pontos A(xA, yA) e B(xB, yB) e sendo dAB a distância entre eles, temos:
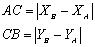
Aplicando o teorema de Pitágoras ao triângulo retângulo ABC, vem:

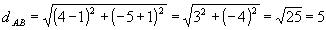
Como exemplo, vamos determinar a distacirc;ncia entre os pontos A(1, -1) e B(4, -5):
Implemente uma função que calcule a distância entre dois pontos através
da fórmula obtida pelo teorema de Pitágoras.
Código
#include <stdio.h>
#include <stdlib.h>
#include <math.h>
void distancia(int *x0,int *y0,int *x1,int *y1, int *distan){
*distan = sqrt(pow((*x1 - *x0), 2) + pow((*y1 - *y0), 2));
}
int main(void) {
setbuf(stdout, NULL);
int x0, y0, x1, y1, dist;
printf("** DISTANCIA **\n\n");
printf("Digite as coordenadas de um ponto (x0,y0) ");
fflush(stdin);
scanf("%d%d", &x0, &y0);
printf("Digite as coordenadas de outro ponto (x1,y1) ");
fflush(stdin);
scanf("%d%d", &x1, &y1);
distancia(&x0,&y0,&x1,&y1,&dist);
printf("Distancia entre os pontos: %d", dist);
return 0;
}